China's Ministry of Commerce issued a preliminary ruling on the anti-dumping investigation of cypermethrin originating from India: dumping exists and importers are required to pay a deposit
In accordance with the Anti-Dumping Regulations of the People's Republic of China (hereinafter referred to as the "Anti-Dumping Regulations"), on May 7, 2024, the Ministry of Commerce (hereinafter referred to as the Investigation Authority) issued Announcement No. 17 of 2024, deciding to initiate an anti-dumping investigation on imports of chlorpyrifos originating in India (hereinafter referred to as the Investigated Product).
The investigation authority investigated whether there is dumping and the dumping margin of the investigated products, whether the investigated products have caused damage to domestic industries and the extent of the damage, and the causal relationship between dumping and damage. Based on the investigation results and the provisions of Article 24 of the Anti-dumping Regulations, the investigation authority made a preliminary ruling. The relevant matters are now announced as follows:
1 Preliminary ruling
The investigating authority preliminarily determined that there was dumping of imported cypermethrin originating in India, that the domestic cypermethrin industry suffered substantial damage, and that there was a causal relationship between the dumping and the substantial damage.
2 Collection of deposits
In accordance with Articles 28 and 29 of the Anti-dumping Regulations, the investigating authority decided to implement temporary anti-dumping measures in the form of deposits. From January 8, 2025, when importing the investigated products, import operators shall provide the Customs of the People's Republic of China with corresponding deposits in accordance with the deposit ratios of each company determined in this preliminary ruling.
|
Scope of investigation: |
Imported cypermethrin originating from India. |
|
Name of the product under investigation: |
Cypermethrin. |
|
English name: |
Cypermethrin, also known as Cypermethrin technical, Cipermethrin. |
|
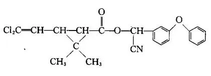
Molecular formula: |
C22H19Cl2NO3 |
|
Chemical structure:
|
|
|
Physical and chemical properties: |
Cypermethrin is an important pyrethroid insecticide, which usually appears as a yellow to brown viscous liquid or a crystalline semi-solid. It has contact and stomach poisoning effects and a wide insecticide spectrum. The CAS number of the active ingredient is 52315-07-8, 67375-30-8 and 1315501-18-8. |
|
Main uses: |
Cypermethrin is mainly used to produce highly effective cypermethrin, insecticide preparations, etc. It is widely used in agriculture, health and other fields, and is used for pest control of cotton, fruit trees, vegetables, tobacco, corn, flowers and other pests. |
This product is classified in the "Tariff of the People's Republic of China": 29269090. Other products under this tariff number are not within the scope of this survey.
The margin rates imposed on each company are listed in Annex 2 to this announcement.
3 Method of collecting deposit
From January 8, 2025, when importing cypermethrin originating in India, import operators shall provide the Customs of the People's Republic of China with the corresponding deposit according to the deposit ratio of each company determined in this preliminary ruling. The deposit is levied on the basis of the dutiable price approved by the customs, and the calculation formula is: deposit amount = (dutiable price approved by the customs × deposit collection ratio) × (1 + import value-added tax rate).
4 Comments
All interested parties may submit written comments to the investigation authority within 10 days from the date of this announcement.

Source: Ministry of Commerce